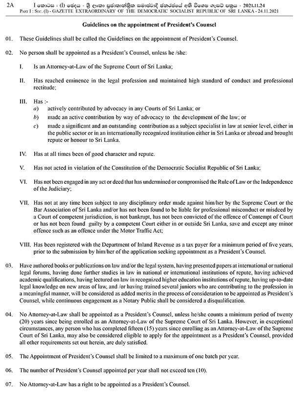
An extraordinary gazette notification was issued yesterday (24) with guidelines relating to the appointment of the President's Counsel.
The gazette notification was issued by the President's Secretary, P.B. Jayasundara, by order of the President.
The gazette notification is as follows:


